Официальное опубликование правовых актов
ОФИЦИАЛЬНОЕ ОПУБЛИКОВАНИЕ
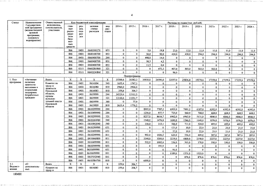
Постановление Администрации Псковской области от 15.02.2019 № 57 "О внесении изменений в Государственную программу Псковской области "Содействие занятости населения"
Номер опубликования: 6000201902200004
Дата опубликования: 20.02.2019
Страница №27 из 53:
Увеличить