Официальное опубликование правовых актов
ОФИЦИАЛЬНОЕ ОПУБЛИКОВАНИЕ
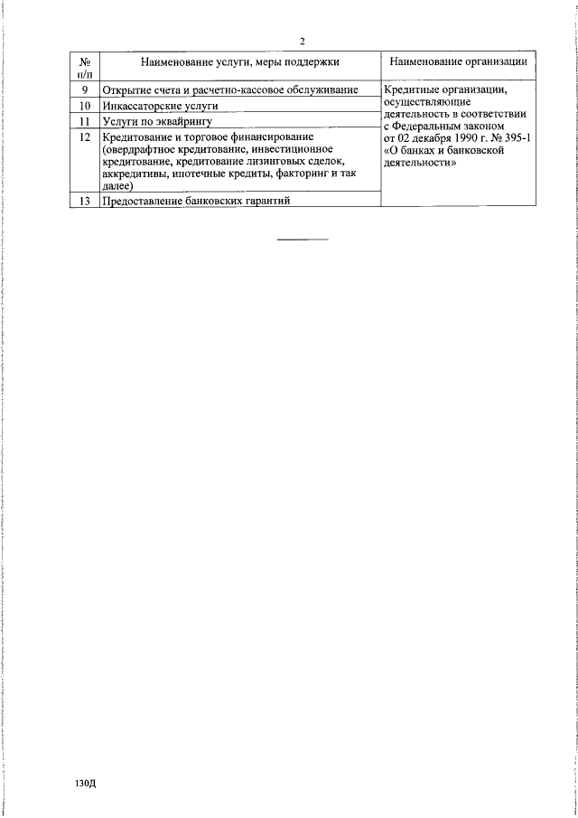
Постановление Администрации Псковской области от 26.11.2018 № 389
"О создании на территории Псковской области центров оказания услуг для бизнеса"
Номер опубликования: 6000201811300005
Дата опубликования: 30.11.2018
Страница №7 из 7:
Увеличить