Официальное опубликование правовых актов
ОФИЦИАЛЬНОЕ ОПУБЛИКОВАНИЕ
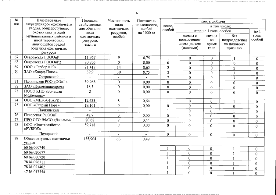
Указ Губернатора Псковской области от 31.07.2018 № 49-УГ
"Об утверждении лимитов и квот добычи охотничьих ресурсов на территории Псковской области на период с 01 августа 2018 года до 01 августа 2019 года"
Номер опубликования: 6000201808020001
Дата опубликования: 02.08.2018
Страница №27 из 52:
Увеличить