Официальное опубликование правовых актов
ОФИЦИАЛЬНОЕ ОПУБЛИКОВАНИЕ
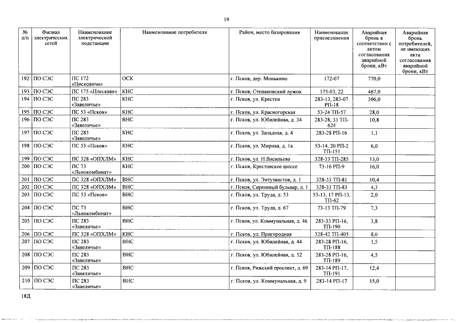
Указ Губернатора Псковской области от 29.06.2018 № 43-УГ "О Перечне потребителей электрической энергии (мощности) на территории Псковской области, ограничение режима потребления электрической энергии которых может привести к экономическим, экологическим, социальным последствиям, на 2018-2019 годы"
Номер опубликования: 6000201807050002
Дата опубликования: 05.07.2018
Страница №20 из 79:
Увеличить