Официальное опубликование правовых актов
ОФИЦИАЛЬНОЕ ОПУБЛИКОВАНИЕ
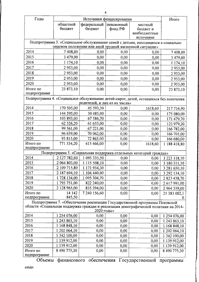
Постановление Администрации Псковской области от 25.05.2018 № 176 "О внесении изменений в Государственную программу Псковской области "Социальная поддержка граждан и реализация демографической политики на 2014-2020 годы"
Номер опубликования: 6000201805310003
Дата опубликования: 31.05.2018
Страница №4 из 82:
Увеличить