Официальное опубликование правовых актов
ОФИЦИАЛЬНОЕ ОПУБЛИКОВАНИЕ
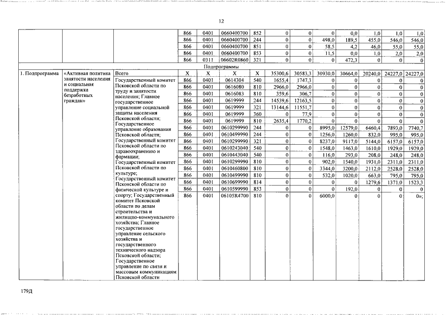
Постановление Администрации Псковской области от 28.12.2017 № 543
"О внесении изменений в Государственную программу Псковской области "Содействие занятости населения на 2014-2020 годы"
Номер опубликования: 6000201712290001
Дата опубликования: 29.12.2017
Страница №12 из 14:
Увеличить