Официальное опубликование правовых актов
ОФИЦИАЛЬНОЕ ОПУБЛИКОВАНИЕ
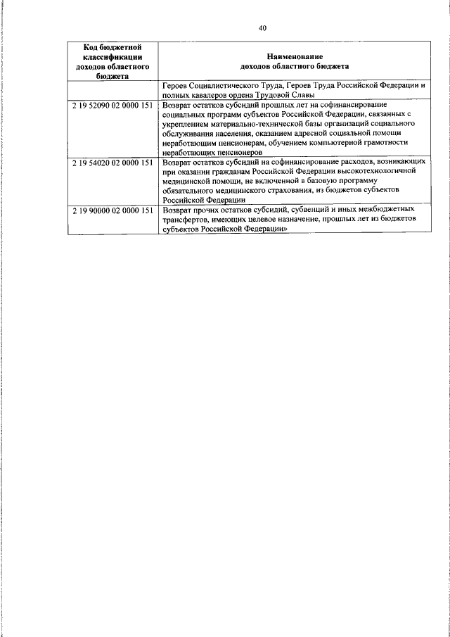
Закон Псковской области от 15.06.2017 № 1783-ОЗ
"О внесении изменений в Закон Псковской области "Об областном бюджете на 2017 год и на плановый период 2018 и 2019 годов"
Номер опубликования: 6000201706160012
Дата опубликования: 16.06.2017
Страница №114 из 390:
Увеличить