Официальное опубликование правовых актов
ОФИЦИАЛЬНОЕ ОПУБЛИКОВАНИЕ
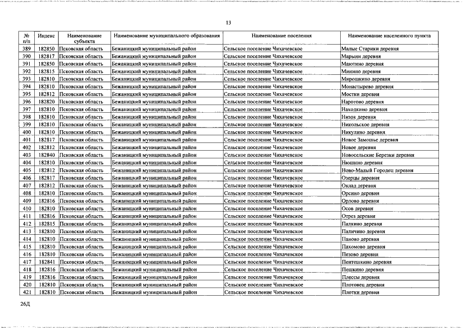
Постановление Администрации Псковской области от 17.02.2017 № 81
"Об утверждении Перечня местностей на территории Псковской области, удаленных от сетей связи, где организации и индивидуальные предприниматели могут применять контрольно-кассовую технику в режиме, не предусматривающем обязательную передачу фискальных документов в налоговые органы в электронной форме через оператора фискальных данных"
Номер опубликования: 6000201702220003
Дата опубликования: 22.02.2017
Страница №15 из 257:
Увеличить