Официальное опубликование правовых актов
ОФИЦИАЛЬНОЕ ОПУБЛИКОВАНИЕ
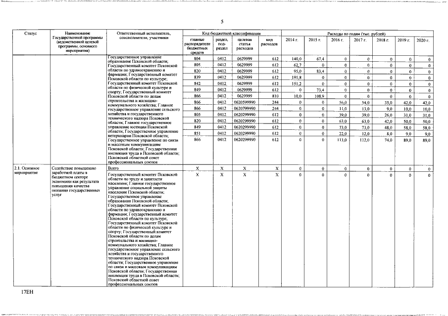
Постановление Администрации Псковской области от 08.02.2017 № 49
"О внесении изменений в Государственную программу Псковской области "Содействие занятости населения на 2014-2020 годы"
Номер опубликования: 6000201702130003
Дата опубликования: 13.02.2017
Страница №27 из 42:
Увеличить