Официальное опубликование правовых актов
ОФИЦИАЛЬНОЕ ОПУБЛИКОВАНИЕ
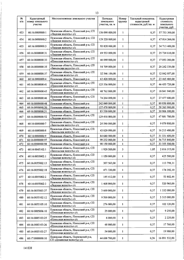
Постановление Администрации Псковской области от 27.10.2016 № 352
"Об утверждении результатов определения кадастровой стоимости и удельных показателей кадастровой стоимости земельных участков в составе земель лесного фонда, расположенных на территории Псковской области"
Номер опубликования: 6000201611010007
Дата опубликования: 01.11.2016
Страница №15 из 26:
Увеличить