Официальное опубликование правовых актов
ОФИЦИАЛЬНОЕ ОПУБЛИКОВАНИЕ
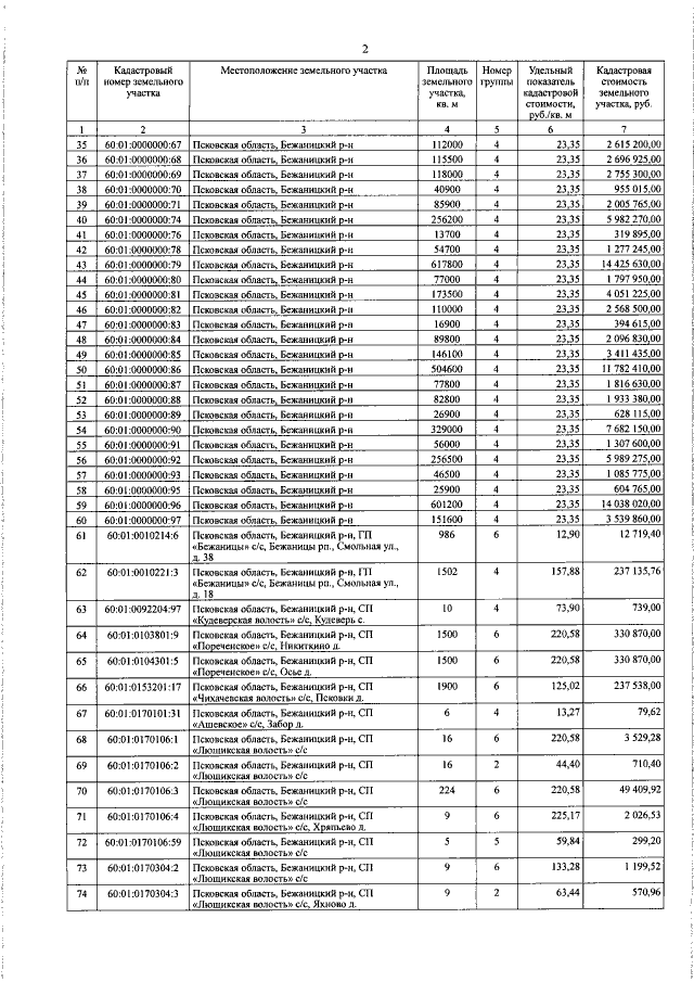
Постановление Администрации Псковской области от 27.10.2016 № 351
"Об утверждении результатов определения кадастровой стоимости и удельных показателей кадастровой стоимости земельных участков в составе земель промышленности, энергетики, транспорта, связи, радиовещания, телевидения, информатики, земель для обеспечения космической деятельности, земель обороны, безопасности и земель иного специального назначения, расположенных на территории Псковской области"
Номер опубликования: 6000201611010005
Дата опубликования: 01.11.2016
Страница №4 из 116:
Увеличить