Официальное опубликование правовых актов
ОФИЦИАЛЬНОЕ ОПУБЛИКОВАНИЕ
Постановление Псковского областного Собрания депутатов от 31.03.2016 № 1441
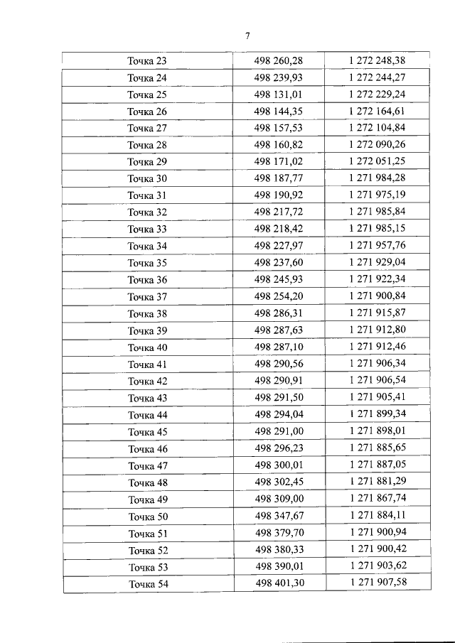
"Об утверждении границ единой зоны регулирования застройки и хозяйственной деятельности, особых режимов использования земель в границах территорий данной зоны и требований к градостроительным регламентам в границах единой зоны регулирования застройки и хозяйственной деятельности объектов культурного наследия регионального значения "Дом жилой (2 строения)" 1904 г., г. Псков, ул. Горького, 59; "Казармы Омского полка" 1907 г., г. Псков, пер. Дружбы, 2/4; "Казармы Омского полка" 1907 г., г. Псков, пер. Дружбы, 4; "Казармы Омского полка" 1907 г., г. Псков, пер. Дружбы, 6/13; "Казармы Омского полка" 1893 г., г. Псков, ул. Госпитальная, 14; "Казармы Омского полка" 1894 г., г. Псков, ул. Мирная, 4; "Казарма Омского полка" 1893 г., г. Псков, ул. Мирная, 9/13; "Военный городок 96-го Омского полка. Казарма солдатская" 1903 г., г. Псков, ул. К.Кирсанова, 5; "Церковь Александра Невского" нач. XX в., г. Псков, ул. Мирная, 1"
Номер опубликования: 6000201604050003
Дата опубликования: 05.04.2016
Страница №9 из 18:
Увеличить