Официальное опубликование правовых актов
ОФИЦИАЛЬНОЕ ОПУБЛИКОВАНИЕ
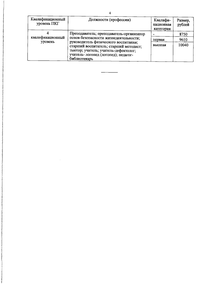
Постановление Администрации Псковской области от 03.03.2015 № 97
"Об утверждении Положения об оплате труда работников медицинских организаций Псковской области"
Номер опубликования: 6000201503110007
Дата опубликования: 11.03.2015
Страница №14 из 22:
Увеличить