Официальное опубликование правовых актов
ОФИЦИАЛЬНОЕ ОПУБЛИКОВАНИЕ
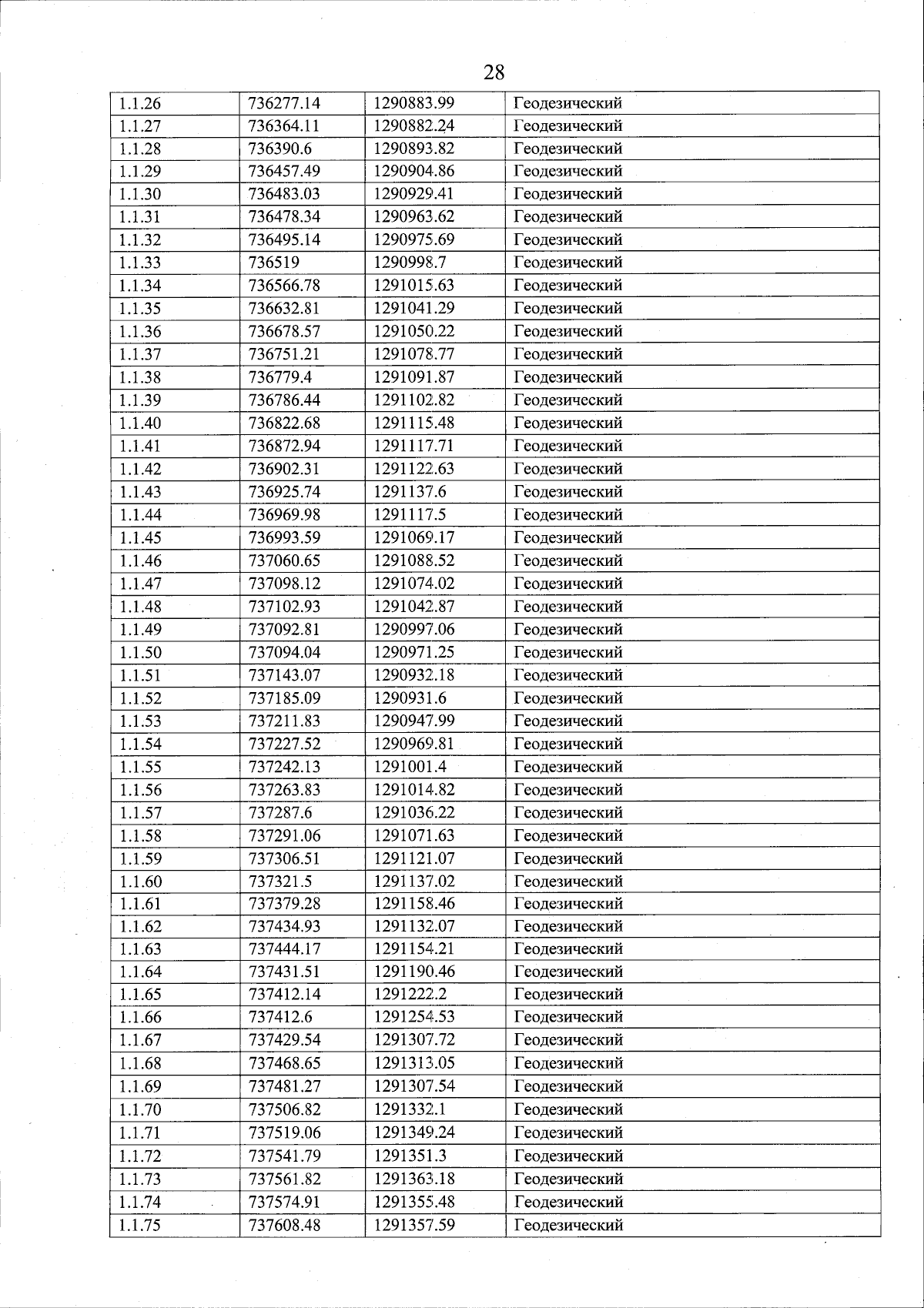
Приказ Министерства природных ресурсов, лесного хозяйства и экологии Пермского края от 24.11.2025 № 30-01-02-1416
"О внесении изменений в приказ Министерства природных ресурсов, лесного хозяйства и экологии Пермского края от 01 февраля 2017 г. № СЭД-30-01-02-127 "Об утверждении положений об особо охраняемых природных территориях регионального значения Кочевского муниципального района Пермского края"
(Зарегистрирован 24.11.2025 № 30-01-02-1416)
Номер опубликования: 5901202511250002
Дата опубликования: 25.11.2025
Страница №29 из 66:
Увеличить