Официальное опубликование правовых актов
ОФИЦИАЛЬНОЕ ОПУБЛИКОВАНИЕ
Приказ Министерства природных ресурсов, лесного хозяйства и экологии Пермского края от 22.07.2025 № 30-01-02-795
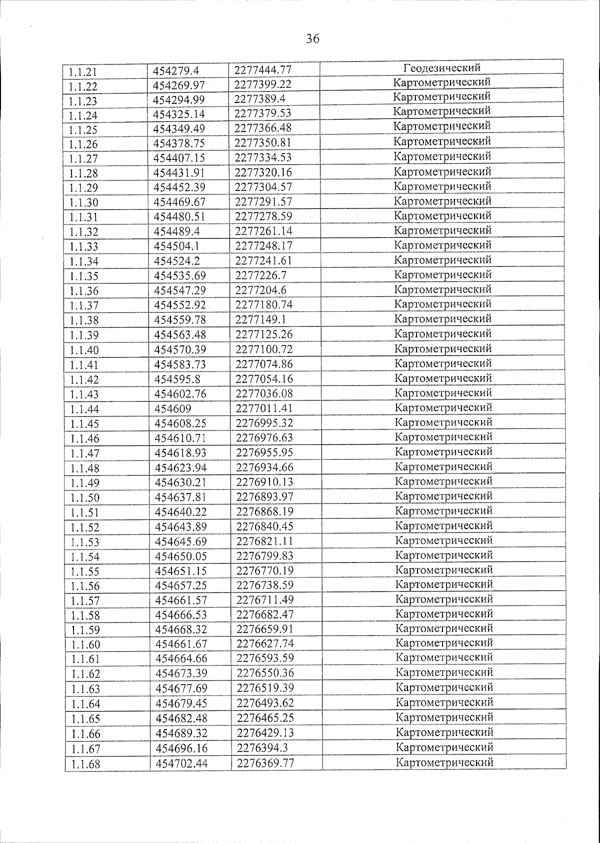
"О внесении изменений в приказ Министерства природных ресурсов, лесного хозяйства и экологии Пермского края от 16 января 2017 г. № СЭД-30-01-02-31 "Об утверждении положений об особо охраняемых природных территориях регионального значения Кунгурского муниципального района Пермского края"
(Зарегистрирован 22.07.2025 № 30-01-02-795)
Номер опубликования: 5901202507250002
Дата опубликования: 25.07.2025
Страница №37 из 53:
Увеличить