Официальное опубликование правовых актов
ОФИЦИАЛЬНОЕ ОПУБЛИКОВАНИЕ
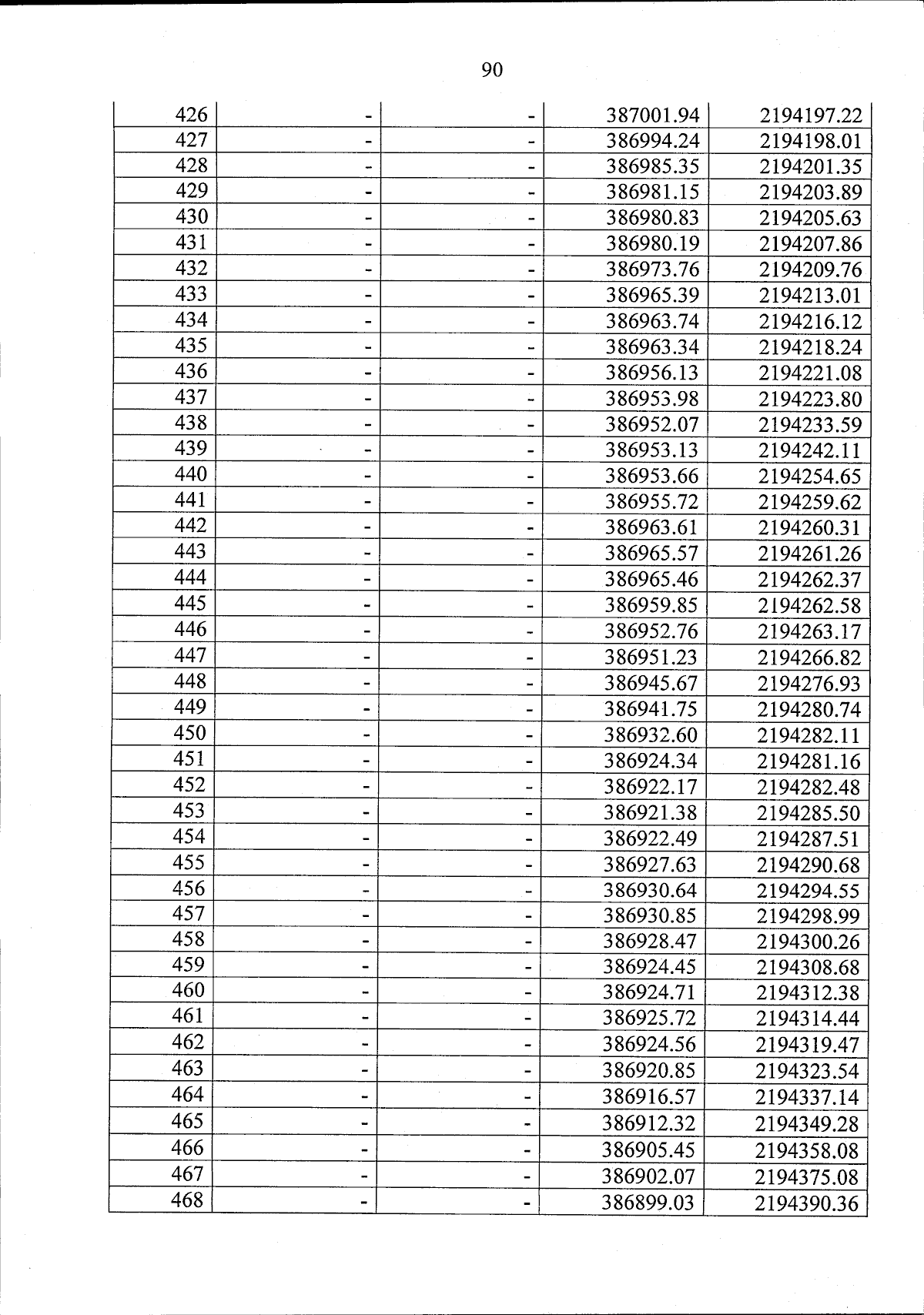
Приказ Министерства природных ресурсов, лесного хозяйства и экологии Пермского края от 30.05.2024 № 30-01-02-587
"Об уточнении границы береговой линии, водоохранной зоны, прибрежной защитной полосы участка реки Тулвы между селом Тюндюк и деревней Усть-Ашап Бардымского муниципального округа Пермского края"
(Зарегистрирован 30.05.2024 № 30-01-02-587)
Номер опубликования: 5901202405310002
Дата опубликования: 31.05.2024
Страница №92 из 124:
Увеличить