Официальное опубликование правовых актов
ОФИЦИАЛЬНОЕ ОПУБЛИКОВАНИЕ
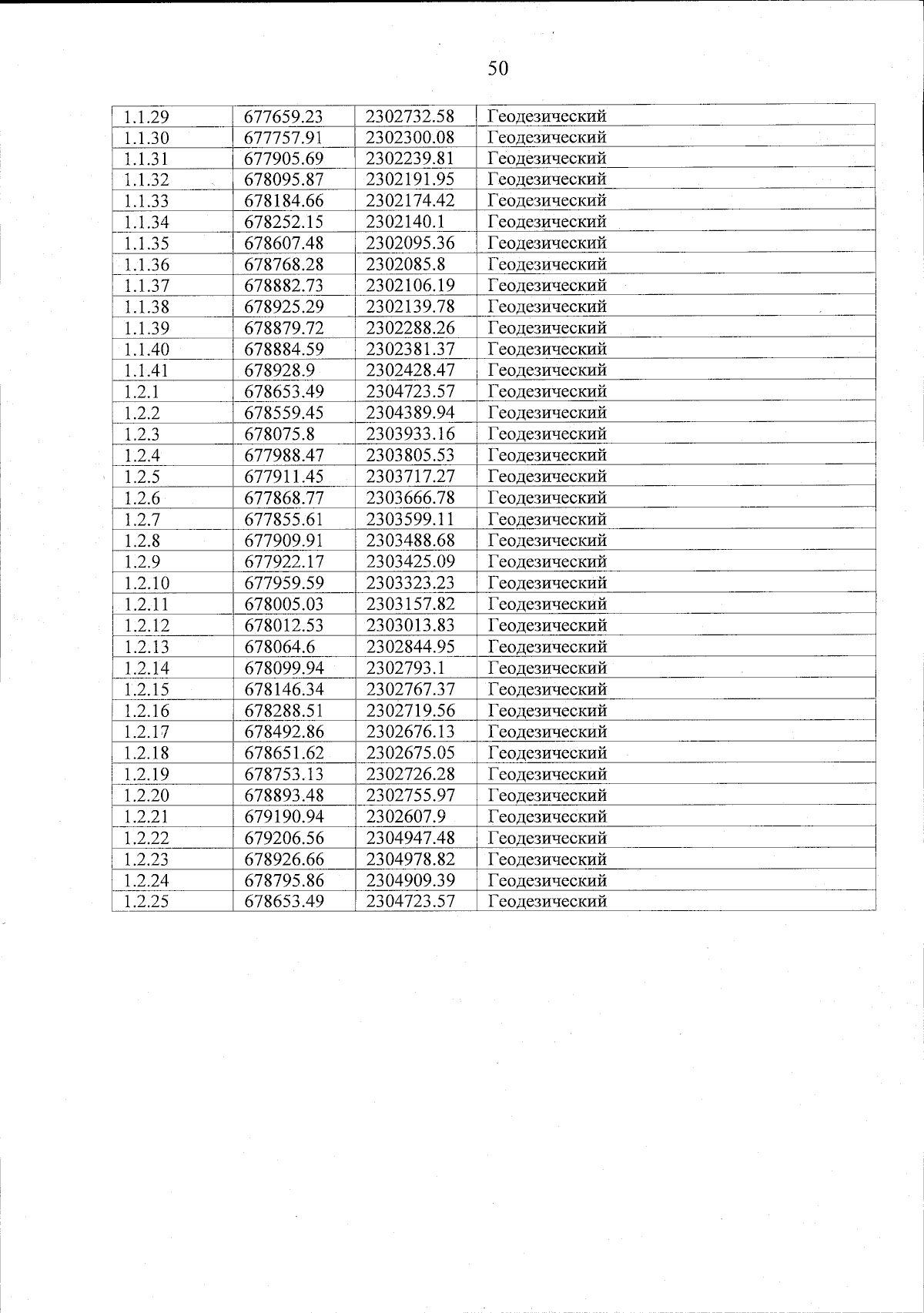
Приказ Министерства природных ресурсов, лесного хозяйства и экологии Пермского края от 07.12.2023 № 30-01-02-1521
"О внесении изменений в приказ Министерства природных ресурсов, лесного хозяйства и экологии Пермского края от 11 июля 2016 г. № СЭД-30-01-02-1255 "Об утверждении положений об особо охраняемых природных территориях регионального значения Александровского муниципального района"
(Зарегистрирован 07.12.2023 № 30-01-02-1521)
Номер опубликования: 5901202312080001
Дата опубликования: 08.12.2023
Страница №52 из 58:
Увеличить