Официальное опубликование правовых актов
ОФИЦИАЛЬНОЕ ОПУБЛИКОВАНИЕ
Приказ Министерства природных ресурсов, лесного хозяйства и экологии Пермского края от 05.12.2023 № 30-01-02-1512
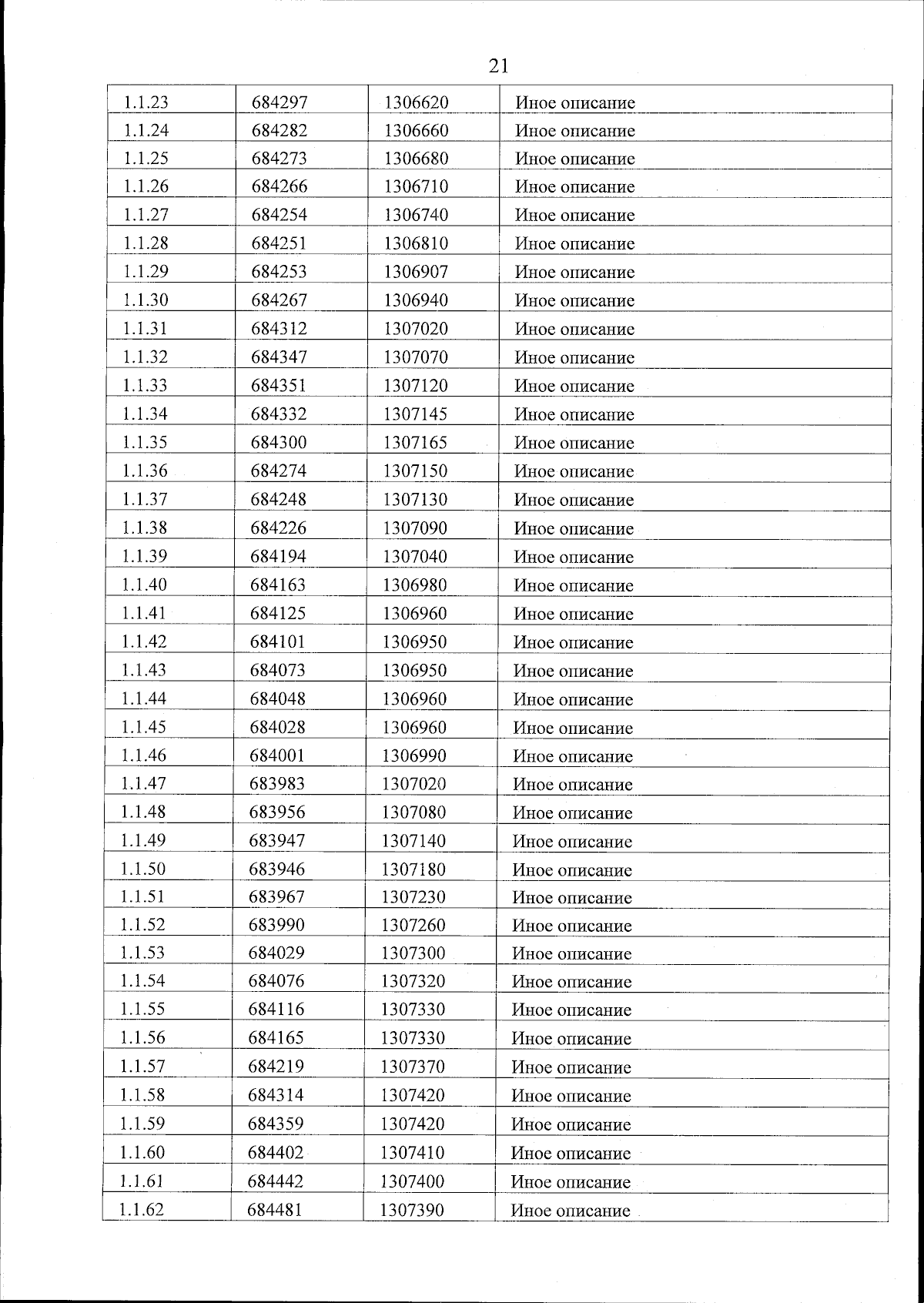
"О внесении изменений в приказ Министерства природных ресурсов, лесного хозяйства и экологии Пермского края от 01 февраля 2017 г. №СЭД-30-01-02-131 "Об утверждении положений об особо охраняемых природных территориях регионального значения Юрлинского муниципального округа Пермского края"
(Зарегистрирован 05.12.2023 № 30-01-02-1512 )
Номер опубликования: 5901202312060002
Дата опубликования: 06.12.2023
Страница №22 из 38:
Увеличить