Официальное опубликование правовых актов
ОФИЦИАЛЬНОЕ ОПУБЛИКОВАНИЕ
Приказ Министерства природных ресурсов, лесного хозяйства и экологии Пермского края от 23.09.2022 № 30-01-02-1174
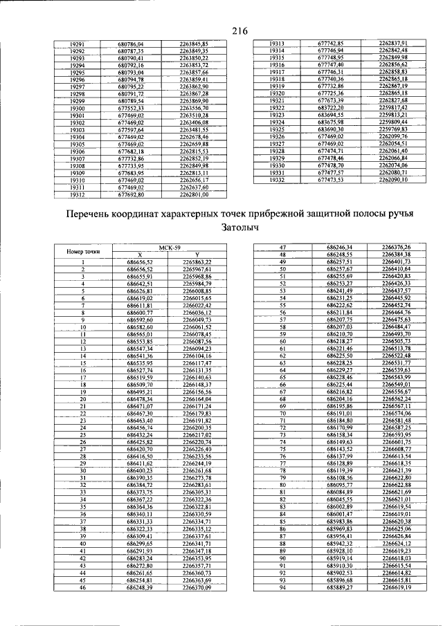
"Об уточнении местоположения береговой линии, установлении границы водоохранной зоны и границы прибрежной защитной полосы ручья Затолыч"
Номер опубликования: 5901202209270001
Дата опубликования: 27.09.2022
Страница №218 из 351:
Увеличить