Официальное опубликование правовых актов
ОФИЦИАЛЬНОЕ ОПУБЛИКОВАНИЕ
Приказ Министерства экономического развития и инвестиций Пермского края от 30.08.2022 № 18-02-06-54
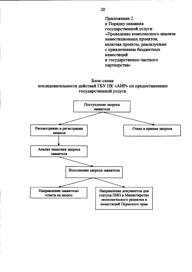
"Об утверждении порядков предоставления государственных услуг государственным бюджетным учреждением Пермского края "Агентство инвестиционного развития"
Номер опубликования: 5901202208310001
Дата опубликования: 31.08.2022
Страница №20 из 20:
Увеличить