Официальное опубликование правовых актов
ОФИЦИАЛЬНОЕ ОПУБЛИКОВАНИЕ
Постановление Правительства Пермского края от 03.12.2025 № 1009-п
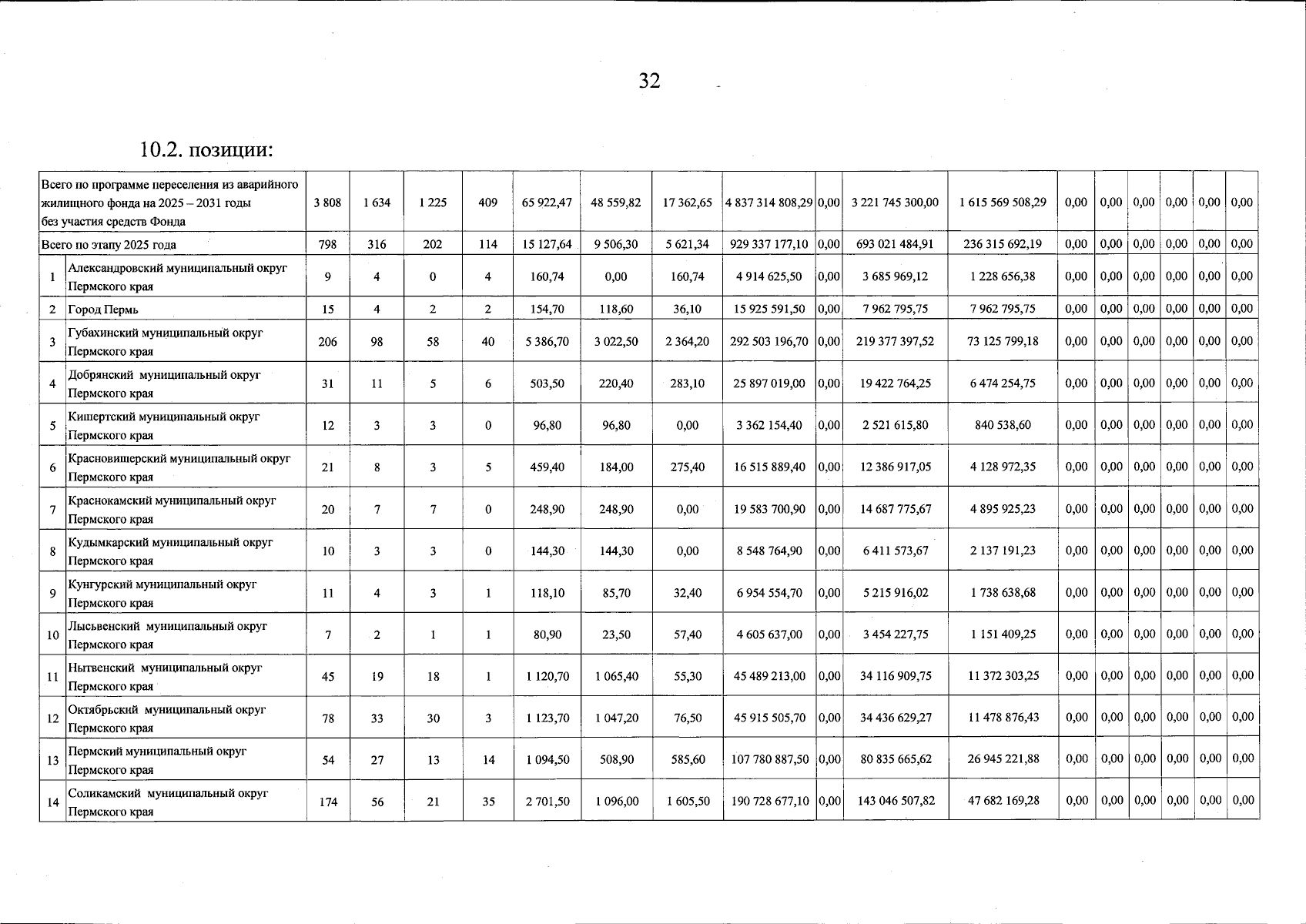
"О внесении изменений в региональную адресную программу по переселению граждан из аварийного жилищного фонда на территории Пермского края на 2025 – 2031 годы, утвержденную постановлением Правительства Пермского края от 20 июня 2025 г. № 498-п"
Номер опубликования: 5900202512040001
Дата опубликования: 04.12.2025
Страница №33 из 48:
Увеличить