Официальное опубликование правовых актов
ОФИЦИАЛЬНОЕ ОПУБЛИКОВАНИЕ
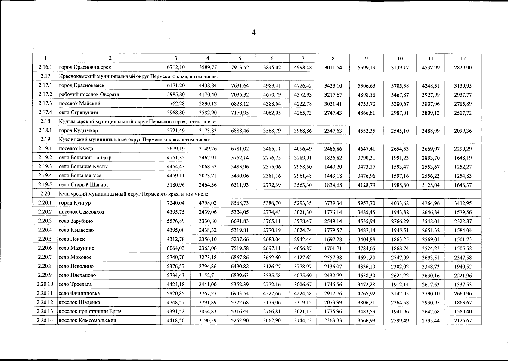
Постановление Правительства Пермского края от 13.11.2025 № 924-п
"О внесении изменений в постановление Правительства Пермского края от 17 июня 2025 г. № 487-п "Об утверждении региональных стандартов стоимости жилищно-коммунальных услуг на второе полугодие 2025 года и первое полугодие 2026 года"
Номер опубликования: 5900202511170032
Дата опубликования: 17.11.2025
Страница №42 из 89:
Увеличить