Официальное опубликование правовых актов
ОФИЦИАЛЬНОЕ ОПУБЛИКОВАНИЕ
Постановление Правительства Пермского края от 16.01.2025 № 11-п
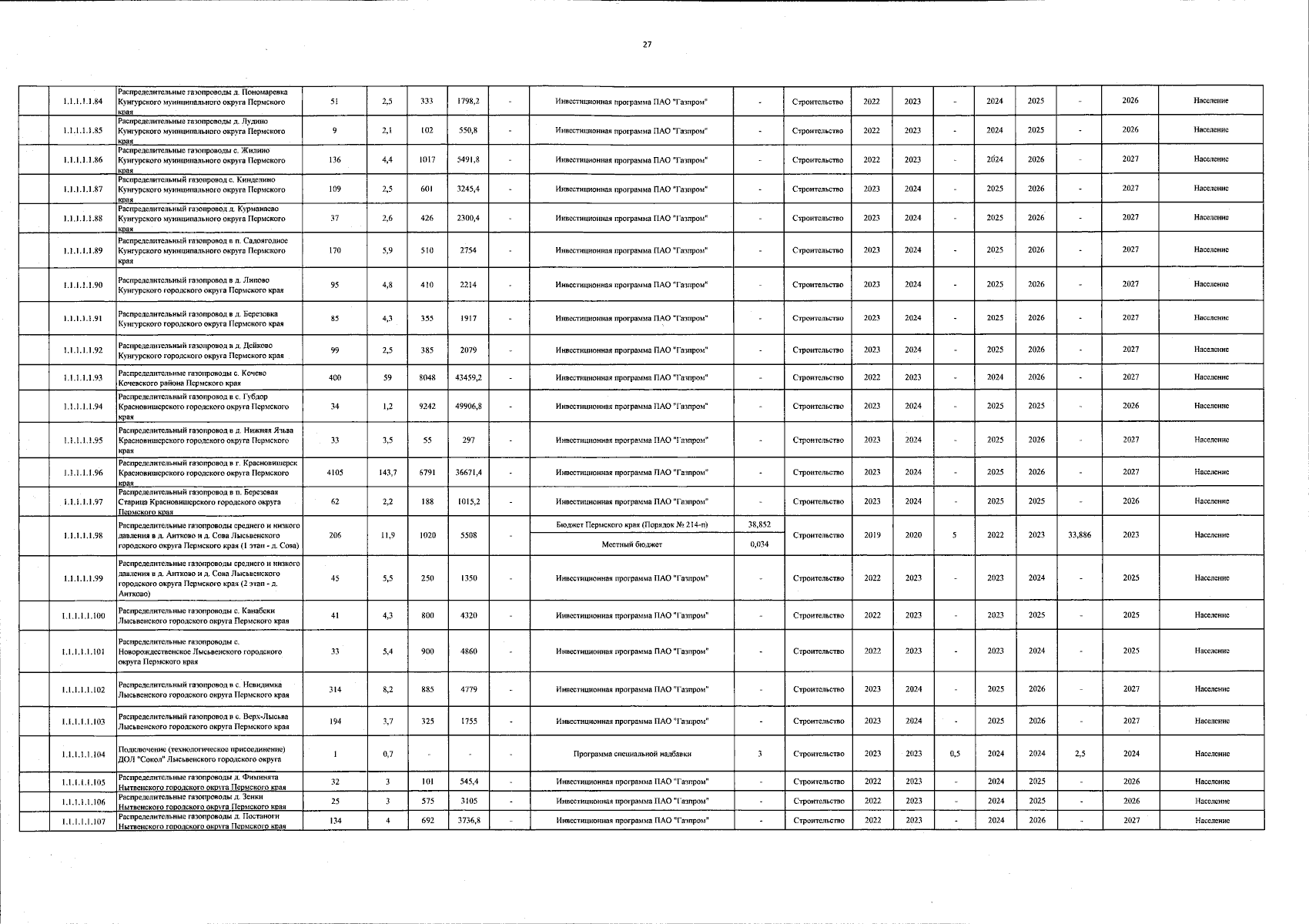
"О внесении изменений в Региональную программу газификации жилищно-коммунального хозяйства, промышленных и иных организаций Пермского края на 2021 – 2030 годы, утвержденную постановлением Правительства Пермского края от 29 декабря 2021 г. № 1122-п"
Номер опубликования: 5900202501200008
Дата опубликования: 20.01.2025
Страница №29 из 41:
Увеличить