Официальное опубликование правовых актов
ОФИЦИАЛЬНОЕ ОПУБЛИКОВАНИЕ
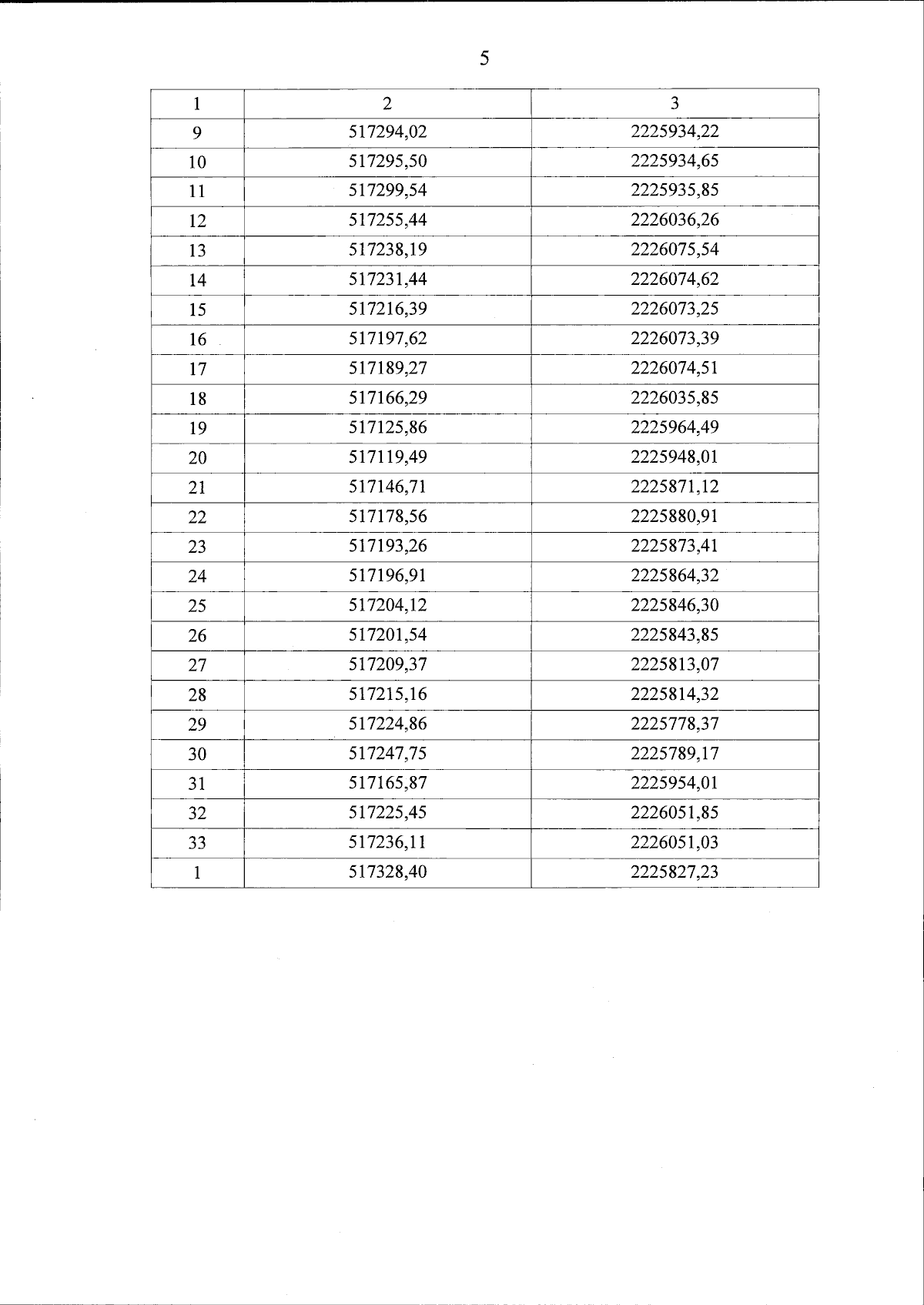
Постановление Правительства Пермского края от 01.08.2024 № 497-п
"О внесении изменений в Правила землепользования и застройки города Перми, утвержденные решением Пермской городской Думы от 26 июня 2007 г. № 143"
Номер опубликования: 5900202408020005
Дата опубликования: 02.08.2024
Страница №9 из 11:
Увеличить