Постановление Правительства Пермского края от 15.07.2024 № 465-п
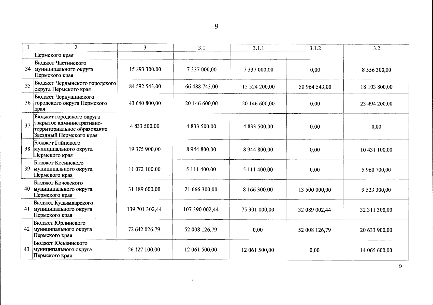
"О внесении изменений в распределение субсидий бюджетам муниципальных образований Пермского края на проектирование и строительство (реконструкцию), капитальный ремонт и ремонт автомобильных дорог общего пользования местного значения, находящихся на территории Пермского края, в 2024 – 2026 годах, утвержденное постановлением Правительства Пермского края от 23 апреля 2020 г. № 259-п "Об утверждении распределения субсидий бюджетам муниципальных образований Пермского края на проектирование и строительство (реконструкцию), капитальный ремонт и ремонт автомобильных дорог общего пользования местного значения, находящихся на территории Пермского края, в 2020 – 2026 годах"
"О внесении изменений в распределение субсидий бюджетам муниципальных образований Пермского края на проектирование и строительство (реконструкцию), капитальный ремонт и ремонт автомобильных дорог общего пользования местного значения, находящихся на территории Пермского края, в 2024 – 2026 годах, утвержденное постановлением Правительства Пермского края от 23 апреля 2020 г. № 259-п "Об утверждении распределения субсидий бюджетам муниципальных образований Пермского края на проектирование и строительство (реконструкцию), капитальный ремонт и ремонт автомобильных дорог общего пользования местного значения, находящихся на территории Пермского края, в 2020 – 2026 годах"
Номер опубликования: 5900202407160003
Дата опубликования:
16.07.2024
