Официальное опубликование правовых актов
ОФИЦИАЛЬНОЕ ОПУБЛИКОВАНИЕ
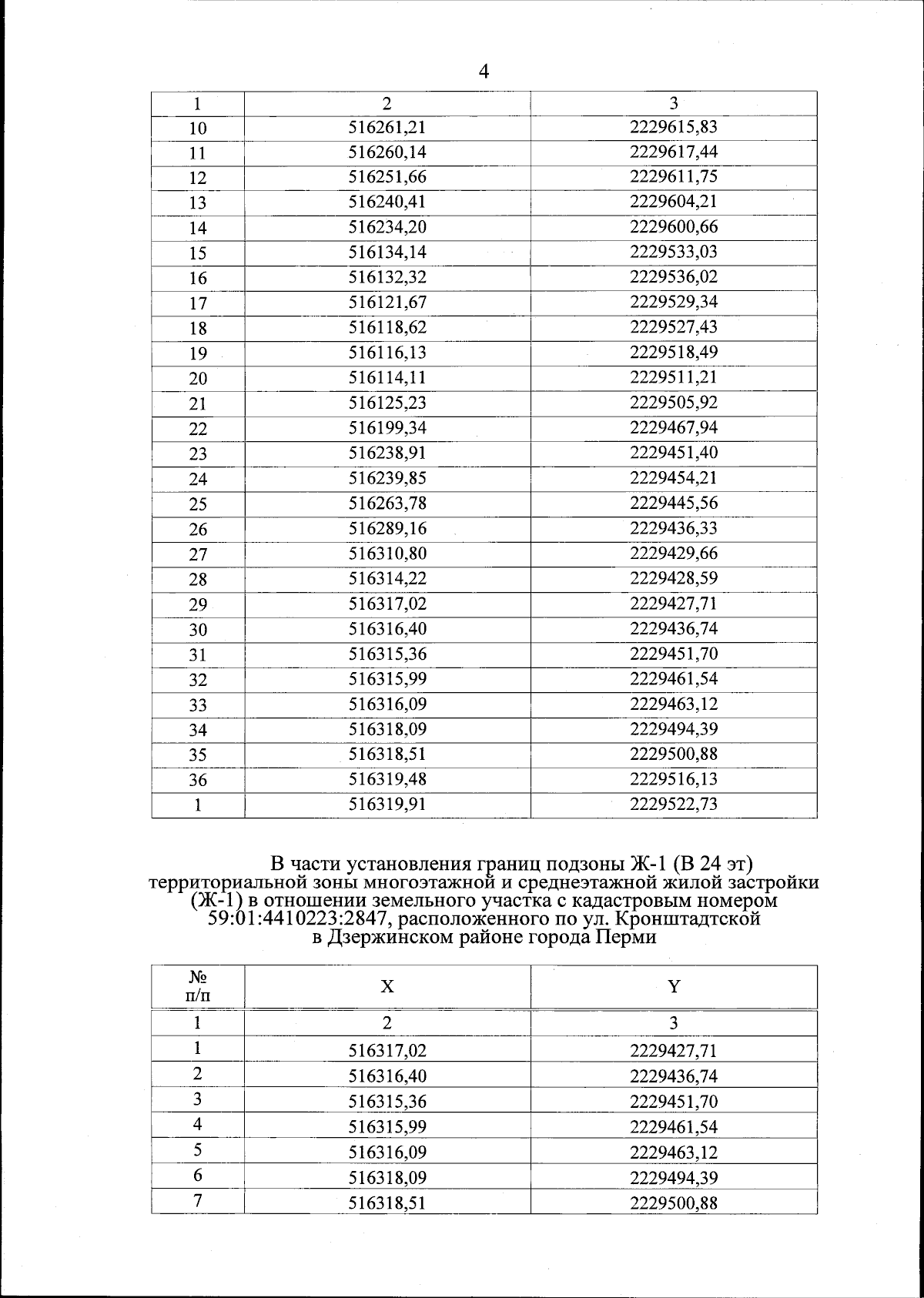
Постановление Правительства Пермского края от 13.06.2024 № 363-п
"О внесении изменений в Правила землепользования и застройки города Перми, утвержденные решением Пермской городской Думы от 26 июня 2007 г. № 143"
Номер опубликования: 5900202406140001
Дата опубликования: 14.06.2024
Страница №8 из 9:
Увеличить