Официальное опубликование правовых актов
ОФИЦИАЛЬНОЕ ОПУБЛИКОВАНИЕ
Постановление Правительства Пермского края от 20.02.2024 № 106-п
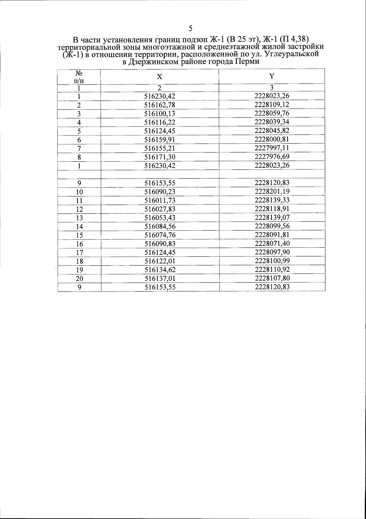
"О внесении изменений в Правила землепользования и застройки города Перми, утвержденные решением Пермской городской Думы от 26 июня 2007 г. № 143"
Номер опубликования: 5900202402210011
Дата опубликования: 21.02.2024
Страница №9 из 11:
Увеличить