Официальное опубликование правовых актов
ОФИЦИАЛЬНОЕ ОПУБЛИКОВАНИЕ
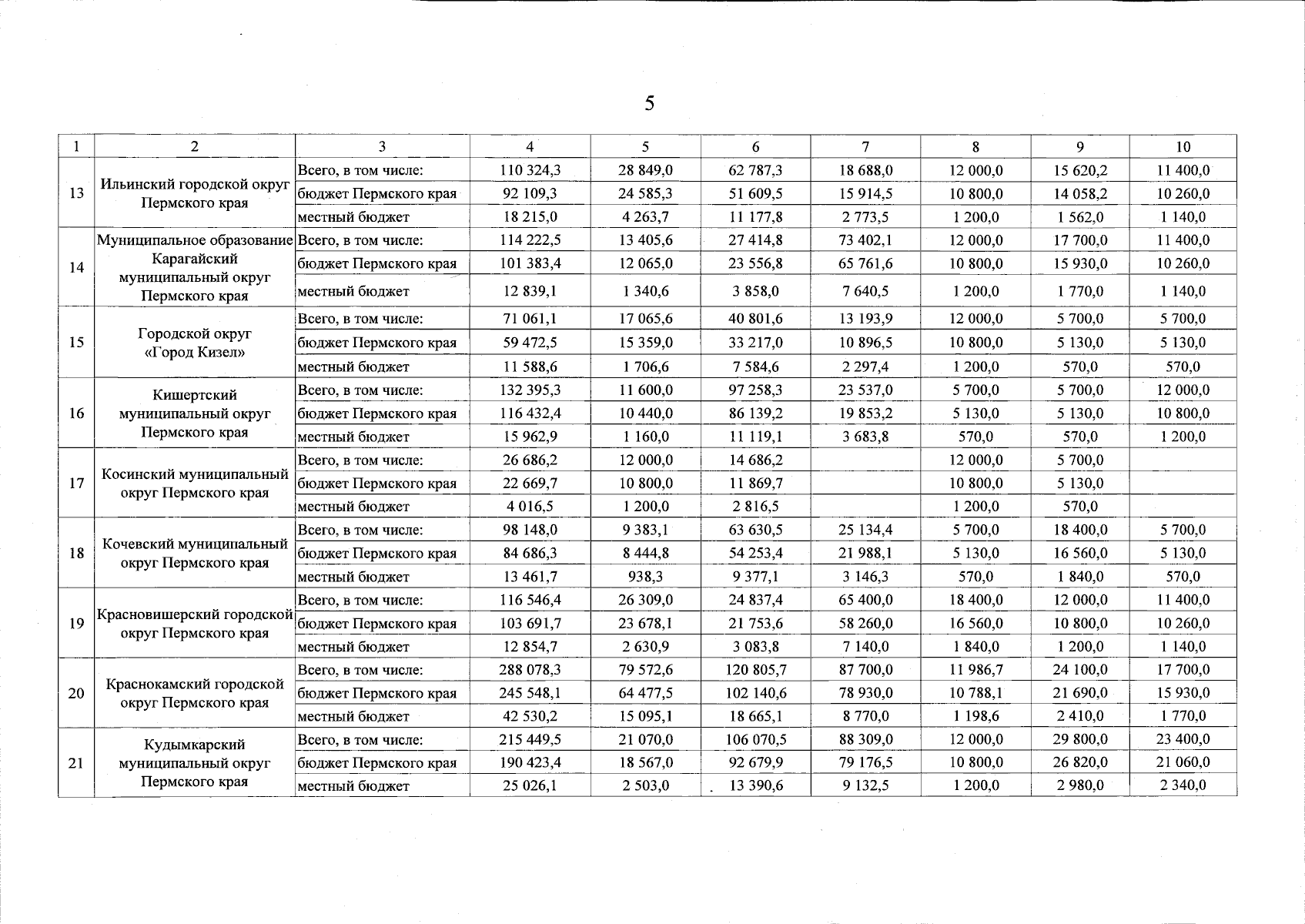
Постановление Правительства Пермского края от 19.02.2024 № 102-п
"О внесении изменений в программу "Комфортный край", утвержденную постановлением Правительства Пермского края от 15 февраля 2023 г. № 122-п, и признании утратившими силу отдельных постановлений Правительства Пермского края"
Номер опубликования: 5900202402200002
Дата опубликования: 20.02.2024
Страница №7 из 22:
Увеличить