Официальное опубликование правовых актов
ОФИЦИАЛЬНОЕ ОПУБЛИКОВАНИЕ
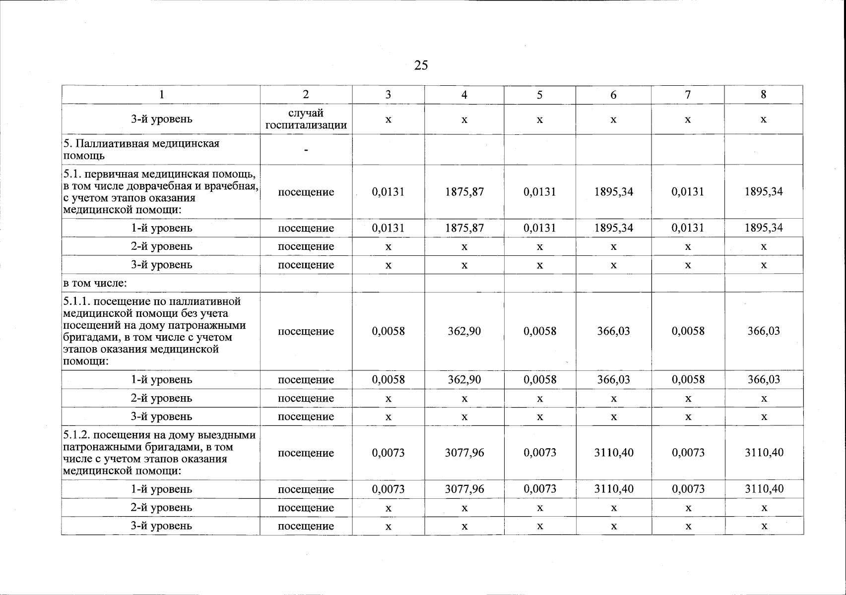
Постановление Правительства Пермского края от 12.12.2023 № 988-п
"О внесении изменений в Территориальную программу государственных гарантий бесплатного оказания гражданам медицинской помощи на 2023 год и на плановый период 2024 и 2025 годов, утвержденную постановлением Правительства Пермского края от 02 марта 2023 г. № 152-п"
Номер опубликования: 5900202312130015
Дата опубликования: 13.12.2023
Страница №27 из 112:
Увеличить