Официальное опубликование правовых актов
ОФИЦИАЛЬНОЕ ОПУБЛИКОВАНИЕ
Постановление Правительства Пермского края от 06.12.2023 № 958-п
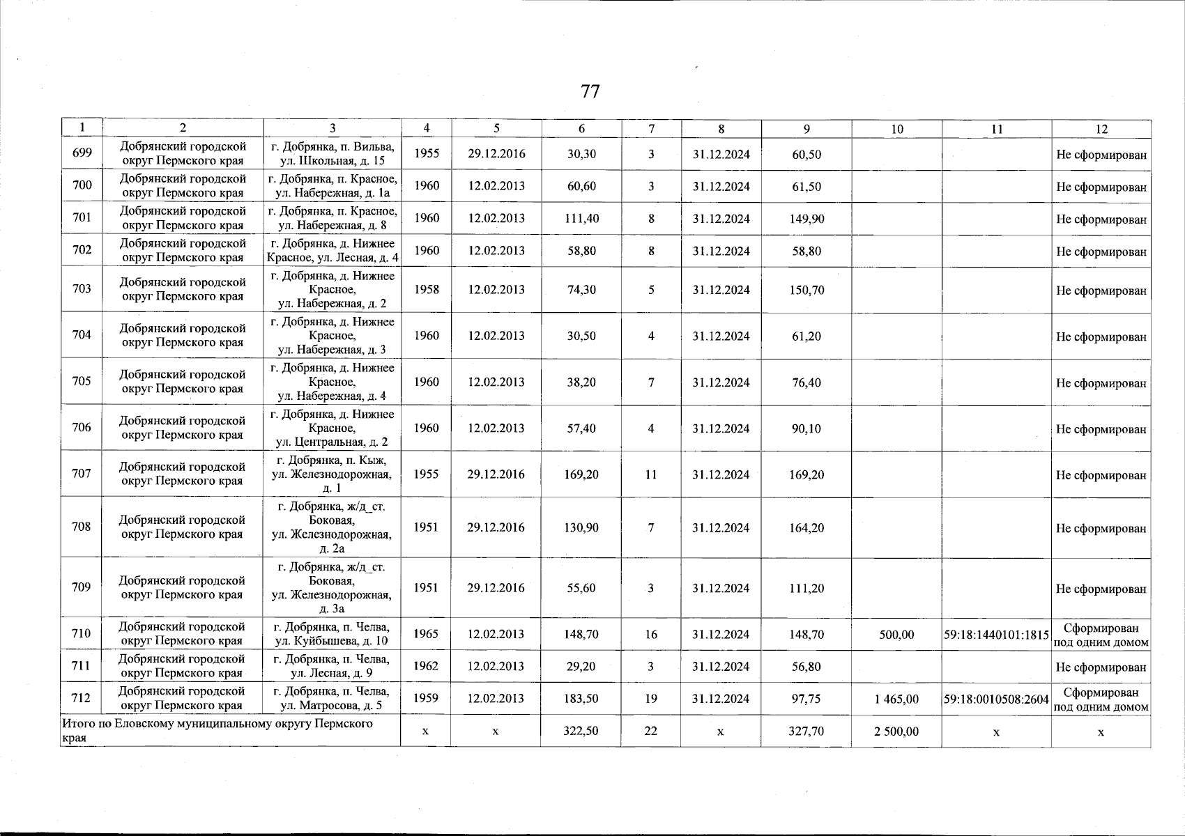
"О внесении изменений в постановление Правительства Пермского края от 29 марта 2019 г. № 227-п "Об утверждении региональной адресной программы по переселению граждан из аварийного жилищного фонда на территории Пермского края на 2019 – 2024 годы"
Номер опубликования: 5900202312070009
Дата опубликования: 07.12.2023
Страница №79 из 181:
Увеличить