Официальное опубликование правовых актов
ОФИЦИАЛЬНОЕ ОПУБЛИКОВАНИЕ
Постановление Правительства Пермского края от 27.11.2023 № 930-п
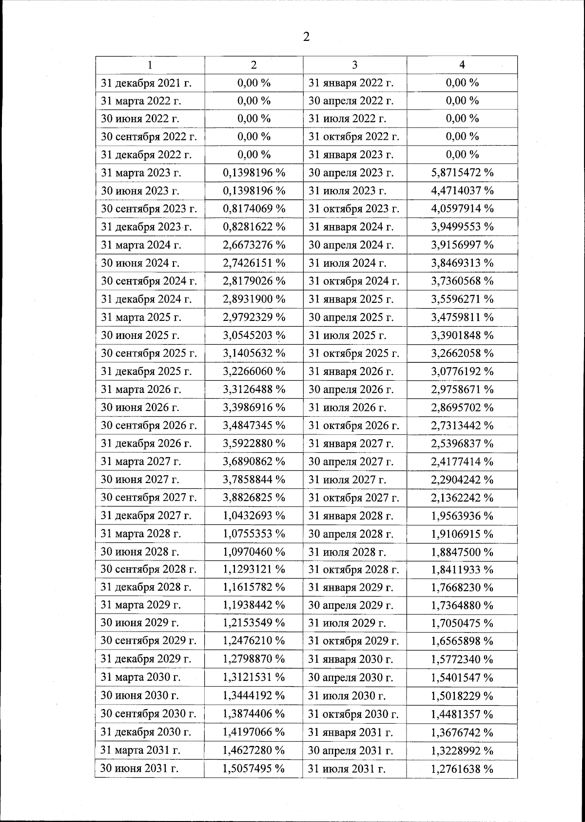
"О внесении изменений в приложение 3 к основным условиям концессионного соглашения о финансировании, проектировании, строительстве и эксплуатации объекта образования: общеобразовательной школы на 1050 мест "Техно-Школа им. В.П. Савиных" в городе Перми, в том числе существенным условиям, определенным в соответствии с частью 1 статьи 10 Федерального закона от 21 июля 2005 г. № 115-ФЗ "О концессионных соглашениях", утвержденным постановлением Правительства Пермского края от 26 октября 2021 г. № 809-п "О заключении концессионного соглашения о финансировании, проектировании, строительстве и эксплуатации объекта образования: общеобразовательной школы на 1050 мест "Техно-Школа им. В.П. Савиных" в городе Перми"
Номер опубликования: 5900202311280002
Дата опубликования: 28.11.2023
Страница №4 из 5:
Увеличить