Официальное опубликование правовых актов
ОФИЦИАЛЬНОЕ ОПУБЛИКОВАНИЕ
Постановление Правительства Пермского края от 02.11.2023 № 852-п
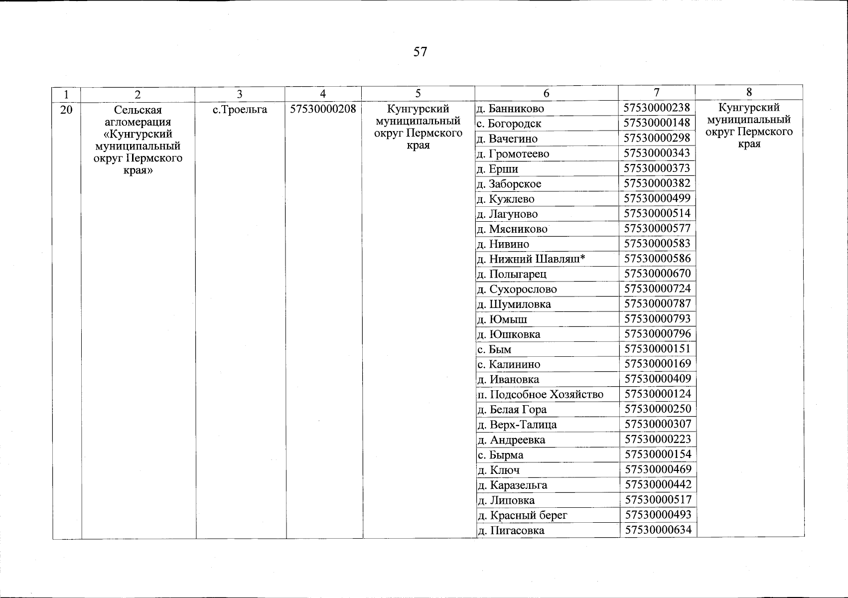
"О внесении изменений в постановление Правительства Пермского края от 30 марта 2023 г. № 225-п "Об утверждении перечня опорных населенных пунктов и прилегающих населенных пунктов Пермского края"
Номер опубликования: 5900202311070037
Дата опубликования: 07.11.2023
Страница №59 из 110:
Увеличить