Официальное опубликование правовых актов
ОФИЦИАЛЬНОЕ ОПУБЛИКОВАНИЕ
Постановление Правительства Пермского края от 24.07.2023 № 552-п
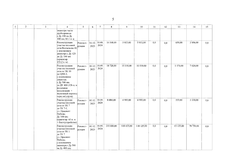
"Об утверждении детализированного перечня мероприятий, реализуемых в рамках одобренных президиумом (штабом) Правительственной комиссии по региональному развитию в Российской Федерации мероприятий, источником финансового обеспечения расходов на реализацию которых являются бюджетные кредиты за счет временно свободных средств единого счета федерального бюджета, предоставляемые Федеральным казначейством бюджетам субъектов Российской Федерации (специальные казначейские кредиты)"
Номер опубликования: 5900202307250002
Дата опубликования: 25.07.2023
Страница №7 из 11:
Увеличить