Официальное опубликование правовых актов
ОФИЦИАЛЬНОЕ ОПУБЛИКОВАНИЕ
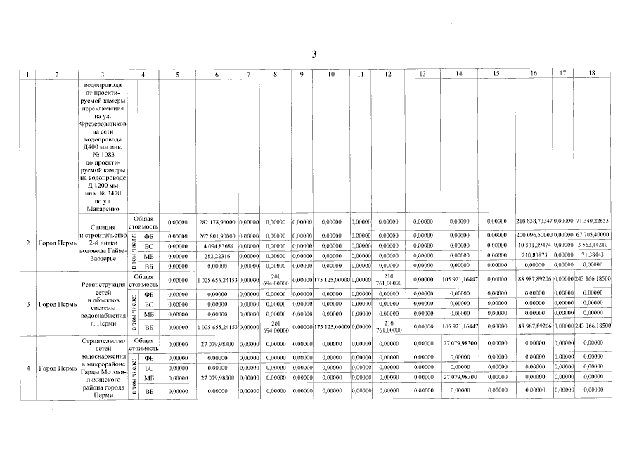
Постановление Правительства Пермского края от 09.06.2023 № 441-п
"О внесении изменений в региональную программу Пермского края по повышению качества водоснабжения на период с 2019 по 2024 год, утвержденную постановлением Правительства Пермского края от 30 сентября 2019 г. № 696-п"
Номер опубликования: 5900202306130012
Дата опубликования: 13.06.2023
Страница №15 из 48:
Увеличить