Официальное опубликование правовых актов
ОФИЦИАЛЬНОЕ ОПУБЛИКОВАНИЕ
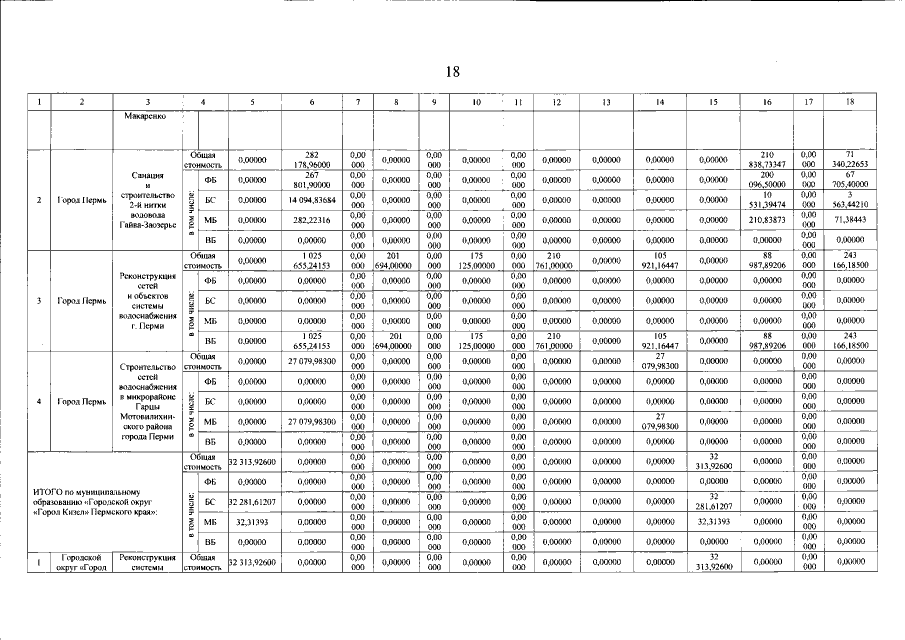
Постановление Правительства Пермского края от 14.04.2023 № 260-п
"О внесении изменений в региональную программу Пермского края по повышению качества водоснабжения на период с 2019 по 2024 год, утвержденную постановлением Правительства Пермского края от 30 сентября 2019 г. № 696-п"
Номер опубликования: 5900202304170001
Дата опубликования: 17.04.2023
Страница №19 из 63:
Увеличить