Официальное опубликование правовых актов
ОФИЦИАЛЬНОЕ ОПУБЛИКОВАНИЕ
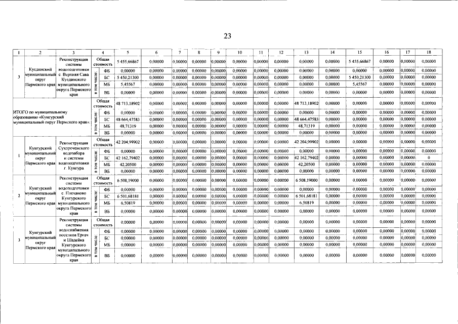
Постановление Правительства Пермского края от 28.02.2023 № 132-п
"О внесении изменений в региональную программу Пермского края по повышению качества водоснабжения на период с 2019 по 2024 год, утвержденную постановлением Правительства Пермского края от 30 сентября 2019 г. № 696-п"
Номер опубликования: 5900202303010009
Дата опубликования: 01.03.2023
Страница №24 из 60:
Увеличить