Официальное опубликование правовых актов
ОФИЦИАЛЬНОЕ ОПУБЛИКОВАНИЕ
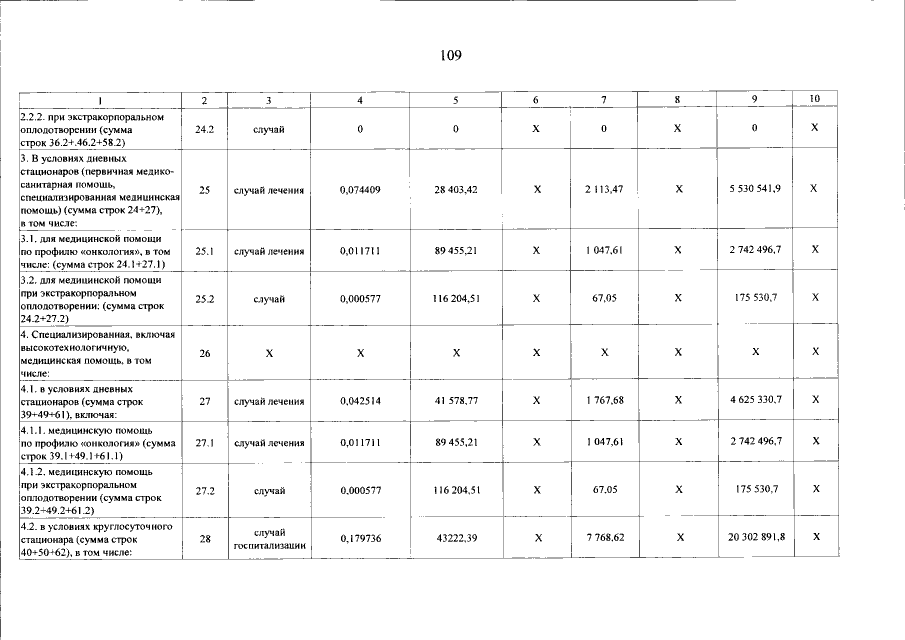
Постановление Правительства Пермского края от 28.12.2022 № 1160-п
"О внесении изменений в Территориальную программу государственных гарантий бесплатного оказания гражданам медицинской помощи на 2022 год и на плановый период 2023 и 2024 годов, утвержденную постановлением Правительства Пермского края от 15 февраля 2022 г. № 105-п"
Номер опубликования: 5900202212290016
Дата опубликования: 29.12.2022
Страница №110 из 121:
Увеличить