Официальное опубликование правовых актов
ОФИЦИАЛЬНОЕ ОПУБЛИКОВАНИЕ
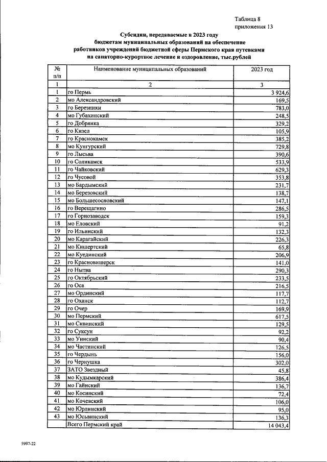
Закон Пермского края от 30.11.2022 № 131-ПК
"О бюджете Пермского края на 2023 год и на плановый период 2024 и 2025 годов"
Номер опубликования: 5900202212010023
Дата опубликования: 01.12.2022
Страница №337 из 386:
Увеличить