Официальное опубликование правовых актов
ОФИЦИАЛЬНОЕ ОПУБЛИКОВАНИЕ
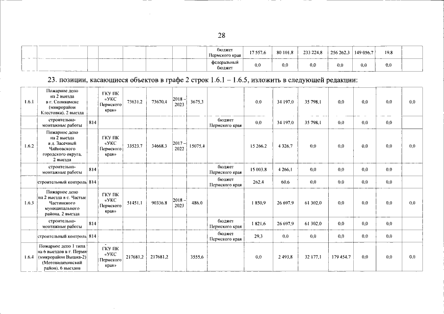
Постановление Правительства Пермского края от 16.11.2022 № 955-п
"О внесении изменений в Адресную инвестиционную программу Пермского края, утвержденную постановлением Правительства Пермского края от 01 октября 2021 г. № 730-п"
Номер опубликования: 5900202211170002
Дата опубликования: 17.11.2022
Страница №29 из 33:
Увеличить