Официальное опубликование правовых актов
ОФИЦИАЛЬНОЕ ОПУБЛИКОВАНИЕ
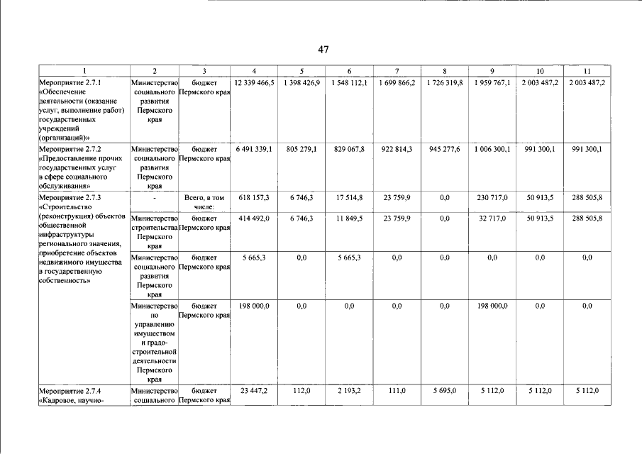
Постановление Правительства Пермского края от 26.08.2022 № 726-п
"О внесении изменений в государственную программу "Социальная поддержка жителей Пермского края", утвержденную постановлением Правительства Пермского края от 03 октября 2013 г. № 1321-п"
Номер опубликования: 5900202208300001
Дата опубликования: 30.08.2022
Страница №49 из 60:
Увеличить