Официальное опубликование правовых актов
ОФИЦИАЛЬНОЕ ОПУБЛИКОВАНИЕ
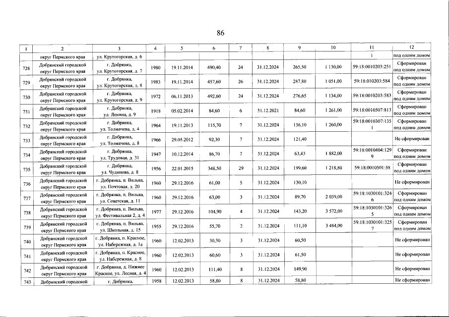
Постановление Правительства Пермского края от 18.08.2022 № 704-п
"О внесении изменений в региональную адресную программу по переселению граждан из аварийного жилищного фонда на территории Пермского края на 2019 – 2024 годы, утвержденную постановлением Правительства Пермского края от 29 марта 2019 г. № 227-п"
Номер опубликования: 5900202208230001
Дата опубликования: 23.08.2022
Страница №88 из 209:
Увеличить