Официальное опубликование правовых актов
ОФИЦИАЛЬНОЕ ОПУБЛИКОВАНИЕ
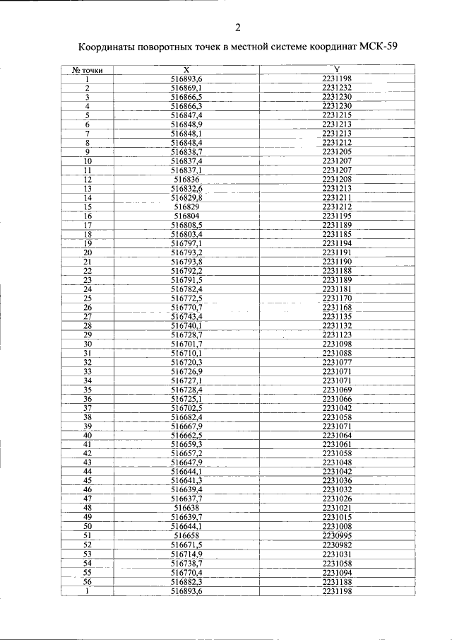
Постановление Правительства Пермского края от 14.07.2022 № 584-п
"Об утверждении границ зон охраны объекта культурного наследия регионального значения "Флигель купца Лаптева с воротами", расположенного по адресу: Пермский край, г. Пермь, шоссе Космонавтов, д. 25, а также режимов использования земель, земельных участков и требований к градостроительным регламентам в границах данных зон"
Номер опубликования: 5900202207180008
Дата опубликования: 18.07.2022
Страница №4 из 8:
Увеличить