Официальное опубликование правовых актов
ОФИЦИАЛЬНОЕ ОПУБЛИКОВАНИЕ
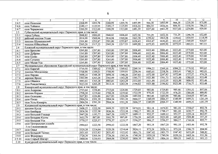
Постановление Правительства Пермского края от 15.06.2022 № 511-п
"Об утверждении региональных стандартов стоимости жилищно-коммунальных услуг на второе полугодие 2022 года и первое полугодие 2023 года"
Номер опубликования: 5900202206170011
Дата опубликования: 17.06.2022
Страница №53 из 105:
Увеличить