Официальное опубликование правовых актов
ОФИЦИАЛЬНОЕ ОПУБЛИКОВАНИЕ
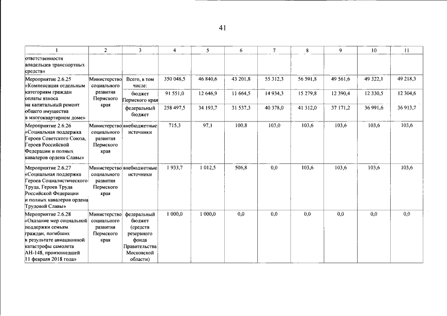
Постановление Правительства Пермского края от 30.03.2022 № 244-п
"О внесении изменений в государственную программу "Социальная поддержка жителей Пермского края", утвержденную постановлением Правительства Пермского края от 03 октября 2013 г. № 1321-п"
Номер опубликования: 5900202204010012
Дата опубликования: 01.04.2022
Страница №43 из 70:
Увеличить