Официальное опубликование правовых актов
ОФИЦИАЛЬНОЕ ОПУБЛИКОВАНИЕ
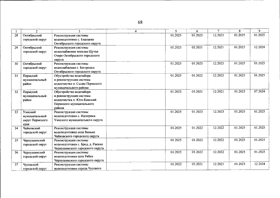
Постановление Правительства Пермского края от 14.12.2021 № 1003-п
"О внесении изменений в постановление Правительства Пермского края от 30 сентября 2019 г. № 696-п "Об утверждении региональной программы Пермского края по повышению качества водоснабжения на период с 2019 по 2024 год"
Номер опубликования: 5900202112170001
Дата опубликования: 17.12.2021
Страница №70 из 80:
Увеличить