Официальное опубликование правовых актов
ОФИЦИАЛЬНОЕ ОПУБЛИКОВАНИЕ
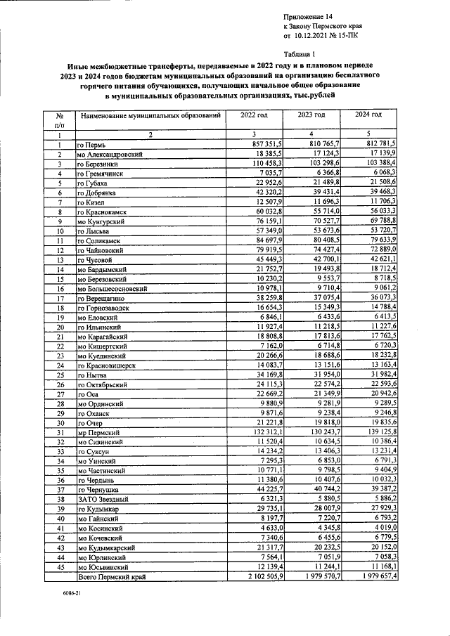
Закон Пермского края от 10.12.2021 № 15-ПК
"О бюджете Пермского края на 2022 год и на плановый период 2023 и 2024 годов"
Номер опубликования: 5900202112130012
Дата опубликования: 13.12.2021
Страница №227 из 242:
Увеличить