Официальное опубликование правовых актов
ОФИЦИАЛЬНОЕ ОПУБЛИКОВАНИЕ
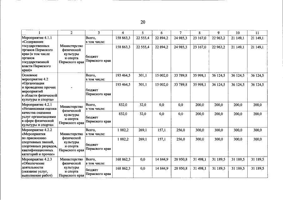
Постановление Правительства Пермского края от 02.12.2021 № 966-п
"О внесении изменений в государственную программу "Спортивное Прикамье", утвержденную постановлением Правительства Пермского края от 03 октября 2013 г. № 1324-п"
Номер опубликования: 5900202112030001
Дата опубликования: 03.12.2021
Страница №22 из 29:
Увеличить