Официальное опубликование правовых актов
ОФИЦИАЛЬНОЕ ОПУБЛИКОВАНИЕ
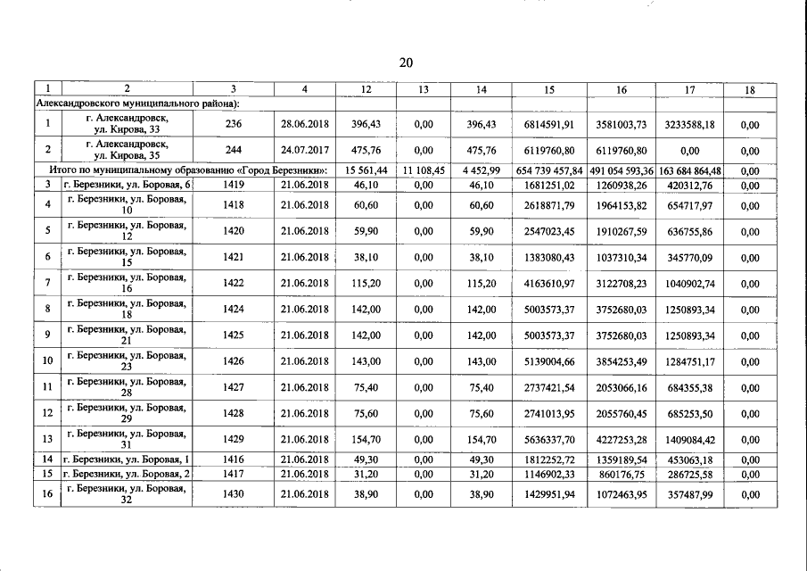
Постановление Правительства Пермского края от 05.10.2021 № 750-п
"О внесении изменений в региональную адресную программу по расселению аварийного жилищного фонда на территории Пермского края на 2019 – 2023 годы, утвержденную постановлением Правительства Пермского края от 24 апреля 2018 г. № 217-п"
Номер опубликования: 5900202110080022
Дата опубликования: 08.10.2021
Страница №21 из 36:
Увеличить