Официальное опубликование правовых актов
ОФИЦИАЛЬНОЕ ОПУБЛИКОВАНИЕ
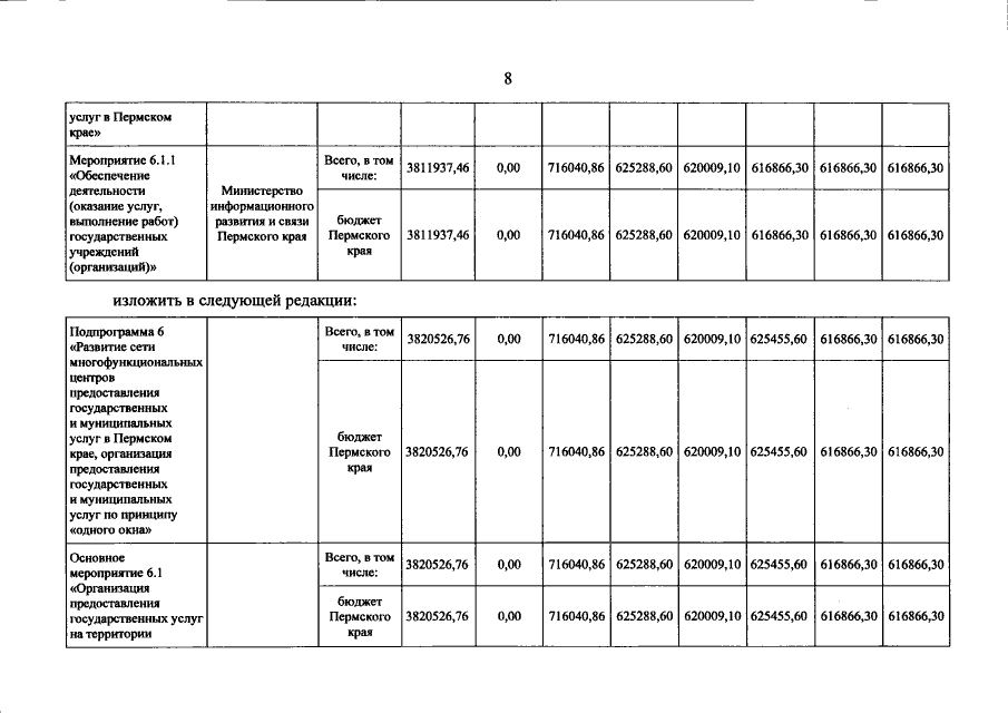
Постановление Правительства Пермского края от 25.08.2021 № 614-п
"О внесении изменений в государственную программу Пермского края "Общество и власть", утвержденную постановлением Правительства Пермского края от 03 октября 2013 г. № 1326-п"
Номер опубликования: 5900202108270013
Дата опубликования: 27.08.2021
Страница №10 из 11:
Увеличить