Официальное опубликование правовых актов
ОФИЦИАЛЬНОЕ ОПУБЛИКОВАНИЕ
Постановление Правительства Пермского края от 20.08.2021 № 592-п
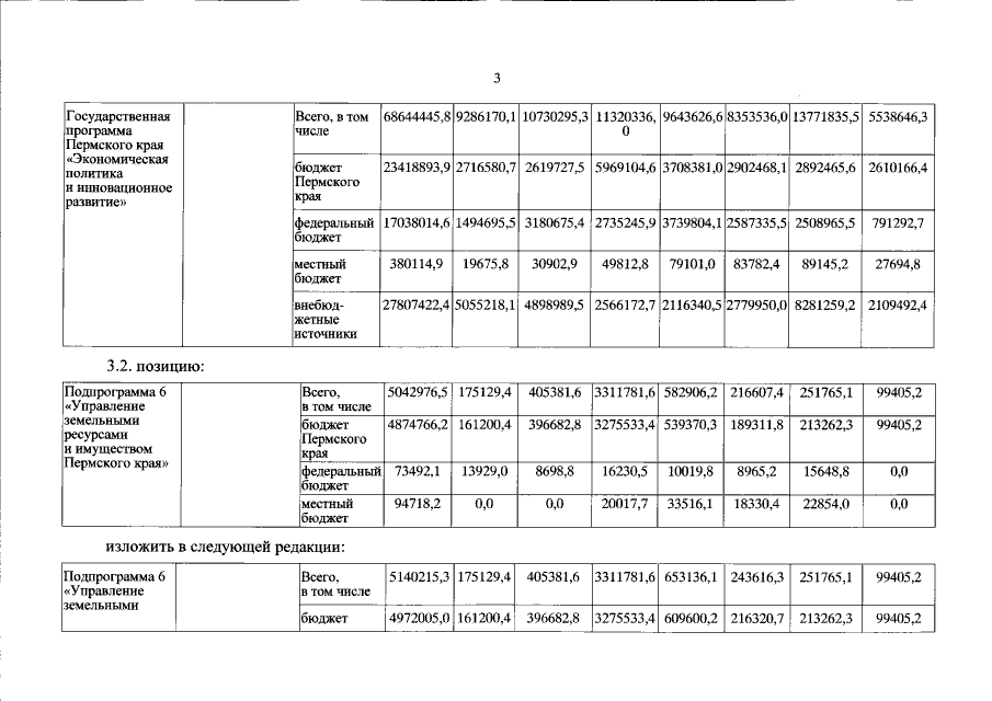
"О внесении изменений в государственную программу Пермского края "Экономическая политика и инновационное развитие", утвержденную постановлением Правительства Пермского края от 03 октября 2013 г. № 1325-п"
Номер опубликования: 5900202108230009
Дата опубликования: 23.08.2021
Страница №5 из 9:
Увеличить